Skip to main content
Close menu William & Mary

High performance computing key to campus research

Improving the Visualization of Data
Improving the Visualization of Data On the left is an example of what a traditional method of working with aid data looks like (red to green points represent amount of aid). On the right is an example of a raster generated using HPC and is a more accurate representation of aid data (red to green pixels represent amount of aid). Submitted by Daniel Runfola and Seth Goodman from AidData
Simulating Urban Flood Levels
Simulating Urban Flood Levels This image shows potential inundation depths of a city packed with buildings and roads during a flood. Submitted by Joseph Zhang from VIMS Physical Sciences
Quantum Mechanical Phenomena in New States of Matter
Quantum Mechanical Phenomena in New States of Matter Hao Shi, Simone Chiesa, and Shiwei Zhang carried out calculations to study atoms trapped in a pancake-shaped well and cooled to ultra-cold temperatures (sub-nK). These systems form a superfluid and can potentially shed light on a variety of exotic quantum mechanical phenomena relevant to new states of matter and our understanding of the microscopic world. The figure above shows how the atoms pair up to create a superfluid. Submitted by Shiwei Zhang in Physics
Pressure Calibrations
Pressure Calibrations In a prestigious publication in Physical Review Letters, Fengjie Ma, Wirawan Purwanto,Shiwei Zhang, and Henry Krakauer carried out calculations to better predict the properties of materials from microscopic theory. Shown in the figure is the result for BN, which is used as a pressure calibration in high-pressure experiments in laboratories. The new results (in red) are compared with experiments (different symbols) at low pressure. Predictions are given by the calculation for high pressure. Submitted by Shiwei Zhang in Physics
Processing Satellite Data
Processing Satellite Data NDVI (normalized difference vegetation index) from MODIS satellite imagery Submitted by Daniel Runfola and Seth Goodman from AidData
The Quantum Mechanics of Electrons
The Quantum Mechanics of Electrons In a prestigious publication in Physical Review X, Mingpu Qin, Hao Shi, and Shiwei Zhang carried out calculations to study the Hubbard model, a fundamental model for understanding the quantum mechanical nature of electrons in magnetic and possibly superconducting materials. The calculations (indicated by the X and the red line) used a method called AFQMC, developed at William & Mary, and large-scale high performance computing. Their results served as the benchmark for this comprehensive collection of the most sophisticated computational methods (denoted by various symbols) in the world in an international collaboration funded by the Simons Foundation. Submitted by Shiwei Zhang in Physics
Macroeconomic Distribution Comparisons
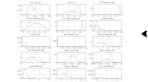
Macroeconomic Distribution Comparisons This figure compares the prior distribution (solid line) against the posterior distribution (dashed line) for the parameters estimated with U.S. data on real GDP, GDP price deflator, and 3-month Treasury Bill Secondary Market Rate at a quarterly frequency in a New Keynesian macroeconomic model with sticky prices, consumption habit formation, interest rate smoothing, demand shocks, supply shocks, and interest rate shocks where monetary policy is constrained by the zero lower bound (ZLB) on the interest rate. The parameters shown are (in row-major order) firm price stickiness, household consumption persistence, demand persistence, supply persistence, interest rate persistence, supply shock std., demand shock std., interest rate shock std., monetary policy inflation response, monetary policy output gap response, mean growth rate, mean inflation rate, and measurement errors std. for output, inflation, and the interest rate. Submitted by Nate Throckmorton from Economics

At William & Mary, the Department of Information Technology works with students, faculty and staff in finding technology-based solutions to complex problems. Within the academic realm, few problems are more complex than those tackled in research computing.

Enter high performance computing

Among its ranks, W&M IT includes a team dedicated to providing computing power, technical skill and high levels of intellectual acumen to support the array of computing projects conducted by researchers within the campus community. This team, the High Performance Computing (HPC) team, maintains a network of computers with much more processing power than the typical personal computer. These computers are used by members of the W&M academic community to run robust research computing projects.

“The HPC facilities at W&M provide a healthy middle ground for calculations that are too demanding for a single desktop machine but are not too overwhelming that a large supercomputing facility is needed,” explained Eric Walter, the HPC manager, as well as a senior research scientist in the physics department.

The facilities include three main clusters of computers, named SciClone, Storm and Chesapeake, providing over 2600 computing cores. The SciClone cluster is the main staple of HPC computing on campus. It provides about 1200 computing cores and over 120 terabytes of storage. Storm and Chesapeake are recent additions to the fleet (2014) and have paved the way for an exponential increase in HPC utilization hours. To put this in perspective, more than 1,200,000 hours were used in May 2015 whereas about 28,000 were used in May 2014, just a year before.

HPC computing hours have recently increased exponentially. The colors represent the HPC computing clusters: SciClone (blue), Storm (green), Chesapeake (red)Walter and his team work to maintain the servers used to run various calculations. Research computing projects often require HPC services due to the large memory and storage requirements for the cutting-edge calculations they perform. Moreover, the HPC facilities give university constituents the flexibility and convenience of conducting their research right here on campus.

“It allows users to develop and test HPC software and algorithms on a local cluster that is supported by W&M staff,” added Walter.

The role of research computing

The HPC facilities serve a wide variety of researchers around the W&M community. Research computing is especially important to departments such as physics, applied science and Virginia Institute of Marine Science physical sciences. However, HPC equipment and services are also employed by researchers in various academic departments, including economics, as well as the Institute for the Theory & Practice of International Relations.

“[The HPC team] has been extremely important to the success of my research program and the breadth and strength of mathematical/computational science at W&M,” noted Professor Gregory Smith, an associate professor of applied science, in an email.

Smith’s work in the applied sciences exposes him to appreciable collaboration with the HPC team and their facilities.

He also noted his excitement over the university’s dedication to his field, adding, “I am highly appreciative of the administration’s continued support of centralized high performance computing at the College.”

Dennis Manos, the vice provost for research and graduate/professional studies, expressed a similar sentiment.

“It is good to know that computational science continues to be of great importance to the university,” he said.

A look toward the future

W&M plans to continue to expand on its research computing capabilities, and Information Technology’s HPC will be an integral part of it. This point has been corroborated in the infrastructure of the university, as a new space dedicated to HPC is included in the third Integrated Science Center (ISC3) construction plans.

“It is our intention to keep a robust, resident modeling simulation, and high-cycle computational capability alive for the foreseeable future. [The HPC team members] are puzzling out the deep infrastructure needs on the final approach to designs of the interior of ISC3 … There is no question that our need for computational capability will not go away,” Manos said.

Tom Crockett, who retired as HPC manager in June 2015 after 15 years with W&M IT, expressed confidence in the future of research computing.

“I fully expect this new academic data center to serve the College well for decades to come,” he said.

Crockett holds a unique perspective that sheds light upon research computing’s gradual development over the years. According to Crockett, steady cultivation has created a full-bodied research computing substructure.

“It has been gratifying to see the W&M HPC activity grow from a modest and sometimes rocky start to its present robust state,” he said.